Blog
Importance of 100% Aqueous Stability in Chromatography
Dr. Jeff Layne discusses the challenges of achieving acceptable retention for polar molecules under typical reversed phase mobile phase conditions.
Posted on Jul 12, 2017
Guest Author: Dr. Jeff Layne
As the LC Product Manager for Phenomenex, one of the most common requests I get is to explain, in simple and practical terms, the features and benefits of our various LC products. Phenomenex has A LOT of different LC products after being in the business for a while, and I can understand the difficulty to distinguish the difference between brands.
One of the shared challenges that chromatographers face is achieving acceptable retention for polar molecules under typical reversed phase mobile phase conditions. This problem is most often encountered when working with polar basic analytes, which are ionized under the low pH mobile phase conditions that are often in reversed phase methods. When developing LC-UV methods, analysts can add various ion-pairing agents, such as hexane sulfonic acid, to dramatically improve the retention of these types of analytes. However, ion-pairing agents are not compatible with mass spectroscopy due to that they are non-volatile and have strong ion-suppression effects. Thus, they are rarely, if ever, used in LC-MS methods.
Even for LC-UV methods, ion-pairing agents can be problematic in terms of method robustness and reproducibility, as the retention times of the analytes can be strongly affected by small variations in the concentration of ion-pairing agent in the mobile phase. Over time these ion-pairing agents can build up within the column itself and lead to gradual drifts in retention as the chemical nature of the sorbent becomes altered by the accumulated ion-pairing agent.
In response to this, many manufacturers have developed unique sorbents designed specifically to provide improved retention and selectivity for highly polar molecules. These types of phases typically contain a polar functional group embedded within the primary alkyl bonded phase ligand itself, or may utilize a polar functional group as an end-capping reagent. Either way, the presence of the polar modification generally provides two benefits relative to a standard alkyl (i.e. C18) bonded phase. First, the presence of the polar modification typically provides stability in 100% aqueous mobile phases. Typical C18 phases are not stable in mobile phases that contain less than 2-3% of organic solvent and will display a catastrophic loss of retention when exposed to or stored in 100% buffer conditions. Secondly, the polar modifications often provide the phases with an increased retention and/or unique selectivity for highly polar analytes as they can provide a secondary interaction beyond the standard hydrophobic mode of interaction provided by the primary alkyl ligand. The use of a highly aqueous mobile phase combined with the novel secondary interaction can often provide an enhancement in retention for hard-to-retain polar, basic species.
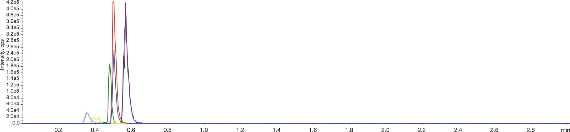
This property is illustrated in the figures below, which show the separation of a group of highly polar, basic catecholamines (e.g. Log P for metanephrine = -0.68) analyzed using a “typical” sub-2 µm C18 column (ACQUITY® BEH 1.7 µm C18; Figure 1) and the same analytes chromatographed using a C18 column with a polar modified surface to increase its polar selectivity and provide stability in 100% aqueous conditions (Figures 2 and 3; Luna Omega 1.6 µm Polar C18).
Figure 3
Luna® Omega 1.6 µm Polar C18 (starting mobile phase = 100 % 0.1 % Formic acid in Water
Mobile phase A was water with 0.1% formic acid, and mobile phase B was acetonitrile with 0.1% formic acid. In Figures 1 and 2, the gradient started with 3% MP B, conditions suitable for a standard C18 phase. Under these conditions, you can see that the polar modified Luna Omega 1.6 µm Polar C18 phase (Figure 2) provides a slight increase in retention compared to the standard C18 phase (Figure 1; ACQUITY 1.7 µm BEH C18). However, when we take advantage of the aqueous stability provided by the Luna Omega Polar C18 surface modification (Figure 3), you can see the dramatic increase in retention that is achieved. That improvement in retention can be critical in moving target analytes away from early suppression zones to improve quantitation and sensitivity.
Fun stuff!
For a full portfolio of our aqueous C18 LC columns download our Complete Guide to HPLC/UHPLC Reversed Phase Selectivity.
As the LC Product Manager for Phenomenex, one of the most common requests I get is to explain, in simple and practical terms, the features and benefits of our various LC products. Phenomenex has A LOT of different LC products after being in the business for a while, and I can understand the difficulty to distinguish the difference between brands.
One of the shared challenges that chromatographers face is achieving acceptable retention for polar molecules under typical reversed phase mobile phase conditions. This problem is most often encountered when working with polar basic analytes, which are ionized under the low pH mobile phase conditions that are often in reversed phase methods. When developing LC-UV methods, analysts can add various ion-pairing agents, such as hexane sulfonic acid, to dramatically improve the retention of these types of analytes. However, ion-pairing agents are not compatible with mass spectroscopy due to that they are non-volatile and have strong ion-suppression effects. Thus, they are rarely, if ever, used in LC-MS methods.
Even for LC-UV methods, ion-pairing agents can be problematic in terms of method robustness and reproducibility, as the retention times of the analytes can be strongly affected by small variations in the concentration of ion-pairing agent in the mobile phase. Over time these ion-pairing agents can build up within the column itself and lead to gradual drifts in retention as the chemical nature of the sorbent becomes altered by the accumulated ion-pairing agent.
In response to this, many manufacturers have developed unique sorbents designed specifically to provide improved retention and selectivity for highly polar molecules. These types of phases typically contain a polar functional group embedded within the primary alkyl bonded phase ligand itself, or may utilize a polar functional group as an end-capping reagent. Either way, the presence of the polar modification generally provides two benefits relative to a standard alkyl (i.e. C18) bonded phase. First, the presence of the polar modification typically provides stability in 100% aqueous mobile phases. Typical C18 phases are not stable in mobile phases that contain less than 2-3% of organic solvent and will display a catastrophic loss of retention when exposed to or stored in 100% buffer conditions. Secondly, the polar modifications often provide the phases with an increased retention and/or unique selectivity for highly polar analytes as they can provide a secondary interaction beyond the standard hydrophobic mode of interaction provided by the primary alkyl ligand. The use of a highly aqueous mobile phase combined with the novel secondary interaction can often provide an enhancement in retention for hard-to-retain polar, basic species.
This property is illustrated in the figures below, which show the separation of a group of highly polar, basic catecholamines (e.g. Log P for metanephrine = -0.68) analyzed using a “typical” sub-2 µm C18 column (ACQUITY® BEH 1.7 µm C18; Figure 1) and the same analytes chromatographed using a C18 column with a polar modified surface to increase its polar selectivity and provide stability in 100% aqueous conditions (Figures 2 and 3; Luna Omega 1.6 µm Polar C18).
Figure 1 Waters ACQUITY® BEH 1.7 µm C18
Figure 2 Luna® Omega 1.6 µm Polar C18
Figure 3
Luna® Omega 1.6 µm Polar C18 (starting mobile phase = 100 % 0.1 % Formic acid in Water
Mobile phase A was water with 0.1% formic acid, and mobile phase B was acetonitrile with 0.1% formic acid. In Figures 1 and 2, the gradient started with 3% MP B, conditions suitable for a standard C18 phase. Under these conditions, you can see that the polar modified Luna Omega 1.6 µm Polar C18 phase (Figure 2) provides a slight increase in retention compared to the standard C18 phase (Figure 1; ACQUITY 1.7 µm BEH C18). However, when we take advantage of the aqueous stability provided by the Luna Omega Polar C18 surface modification (Figure 3), you can see the dramatic increase in retention that is achieved. That improvement in retention can be critical in moving target analytes away from early suppression zones to improve quantitation and sensitivity.
Fun stuff!
For a full portfolio of our aqueous C18 LC columns download our Complete Guide to HPLC/UHPLC Reversed Phase Selectivity.
















