
Recommended Applications
Aroclors/PCBs, Haloacetic Acids, Herbicides, Insecticides, Multi-Pesticide Screening, Nitrogen Containing Pesticides, Organochlorine Pesticides, Organophosphorous Pesticides
Recommended Use Optimized, versatile selectivity for chlorinated pesticides, herbicides, and PCBs by GC-ECD |
| Agilent® | Restek® |
|---|---|
| DB®-CLP1 DB-CLP2 |
Rtx®-CLPesticides Rtx-CLPesticides2 Stx®-CLPesticides Stx-CLPesticides2 |

Columns:
Zebron MultiResidue™-1 |
|
Dimension:
30 meter x 0.25 mm x 0.25 µm |
|
Part No.:
7HG-G016-11 |
|
Injection:
Splitless @ 260 °C, 1 µL |
|
Carrier Gas:
Helium @ 0.9 mL/min (constant flow)
|
|
Oven Program:
80 °C for 0.5 min to 150 °C @ 10 °C/min to
240 °C @ 4 °C/min to 320 °C @ 15 °C/min
for 3 min
|
|
Detector:
MSD @ 320 °C; 45-400 amu |
|
Sample:
Analytes were 1 ppm in Dichloromethane |

|
Columns:
Zebron ZB-MultiResidue-1
|
|
|
Dimension:
30 meter x 0.25 mm x 0.25 µm
|
|
|
Part No.:
7HG-G016-11
|
|
|
Injection:
Splitless (hold 0.5 min) @ 260 °C, 1 µL
|
|
|
Carrier Gas:
Helium @ 0.8 mL/min (constant flow)
|
|
|
Oven Program:
100 °C for 0.5 min to 200 °C @ 25 °C/min to 320 °C @ 15 °C/min for 2 min
|
|
|
Detector:
MSD @ 320 °C, 45-400 amu |
|
|
Sample:
1. o,p-DDE2. p,p-DDE 3. o,p-DDD 4. o,p-DDT 5. p,p-DDD 6. p,p-DDT |

|
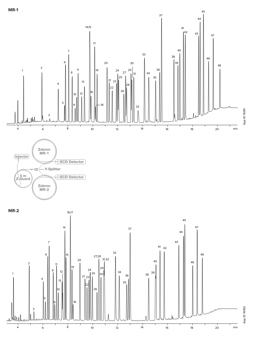
Columns:
Zebron MultiResidue-1
Zebron MultiResidue-2 |
|
|
Dimension:
30 meter x 0.32 mm x 0.50 µm
30 meter x 0.32 mm x 0.25 µm |
|
|
Part No.:
7HM-G016-17
7HM-G017-11 |
|
|
Injection:
On-Column @ 103 °C, 1 µL
|
|
|
Carrier Gas:
Helium @ 2.8 mL/min (constant flow)
|
|
|
Oven Program:
100 °C for 0.5 min to 180 °C @ 20 °C/min to
240 °C @ 6 °C/min to 320 °C @ 15 °C/min
for 2 min
|
|
|
Detector:
FID @ 340 °C |
|
|
Note:
Columns connected using a 5ms Z-Guard Column and a “Y” splitter. |
Sample:
Analytes are 2 ppm in Dichloromethane. 1. Dichlorvos 2. Mevinphos 3. Trichlorfon 4. TEPP (Tetraethyl Pyrophosphate) 5. Demeton Isomer 6. Thionazin 7. Ethoprop 8. Sulfotep 9. Naled 10. Dicrotophos 11. Phorate 12. Monocrotophos 13. Demeton 14. Terbufos 15. Diazinon 16. Dimethoate 17. Fonofos 18. Phosphamidon Isomer 19. Disulfoton 20. Dichlofenthion 21. Phosphamidon 22. Chlorpyrifos Methyl 23. Ronnel 24. Aspon |
25. Methyl Parathion 26. Malathion 27. Fenitrothion 28. Chlorpyrifos 29. Fenthion 30. Trichloronate 31. Parathion 32. Merphos 33. Chlorfenvinphos 34. Crotoxyphos 35. Stirofos 36. Tokuthion 37. Merphos Oxide (Tribufos) 38. Ethion 39. Fensulfothion 40. Contaminant 41. Carbophenothion 42. Famfur 43. EPN 44. Phosmet 45. Leptophos 46. Azinphos Methyl 47. Azinphos Ethyl 48. Coumaphos |