
April 3, 2026
Reviewed by Our Phenomenex Team
Chromatographic separation is a fundamental analytical technique used to resolve complex mixtures into individual components. In pharmaceutical, environmental, and food testing, reliable and well‑defined separations are essential to ensuring high quality data. However, challenges such as co-eluting peaks, inconsistent retention, and time-intensive method development remain common. Understanding separation mechanisms is key to optimizing resolution, avoiding unnecessary reruns, and producing reliable results.
Separation occurs through the differential distribution of analytes between a stationary phase and a mobile phase. As analytes travel through the column, differences in chemical interactions determine their retention time. Compounds that interact strongly with the stationary phase move slowly, while those with weaker interactions elute faster. This allows individual components to be detected separately, forming the basis for accurate qualitative and quantitative analysis.
In most analytical workflows, separation is essential for distinguishing compounds before detection. Many detectors rely on clean peak resolution to accurately identify and quantify analytes.
Advanced detectors such as mass spectrometers (MS) can differentiate compounds based on their mass-to-charge ratio (m/z), even when co-eluting. However, poor chromatographic separation still negatively impacts performance. Co-elution can lead to:
Even with selective detection, unresolved peaks compromise data quality, sensitivity, and reproducibility, reinforcing the need for robust chromatographic separation.
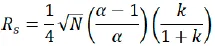
Resolution (Rs) is the mathematical measure of how well two peaks are separated. It is defined by the fundamental resolution equation:
![]()
where N is efficiency, α is selectivity, and k is retention. These three factors form the foundation for method optimization.
Selectivity describes how two different analytes interact with the stationary and mobile phases. Even small changes in chemistry such as polarity, pH, or functional groups can significantly alter separation. Selectivity is often the most powerful lever for improving resolution.
Selectivity is driven by specific interaction mechanisms, including hydrophobic interactions, π–π interactions (e.g., phenyl phases), hydrogen bonding, and steric effects. Leveraging alternative stationary phase chemistries can significantly alter elution order and resolve challenging co-elutions.
Efficiency relates to how well a column produces narrow, well-defined peaks. It is influenced by particle size, column packing, and system dispersion. Higher efficiency results in sharper peaks and better separation between closely eluting compounds.
While traditional methods rely on decreasing the size of Fully Porous Particles (FPP) to increase surface area and reduce path length, modern chromatography leverages Core-Shell Technology to achieve superior results without the extreme backpressure of UHPLC.
Retention reflects how strongly an analyte is retained by the stationary phase relative to the mobile phase and is commonly expressed as the retention factor (k). Proper retention ensures analytes are sufficiently separated without excessively long run times.
Gradient elution is particularly useful for complex samples with a wide polarity range, enabling consistent retention behavior across analytes.
A variety of chromatographic separation modes are available, each based on different interaction mechanisms. Below is a high-level overview:
In Reversed-Phase Chromatography, nonpolar stationary phases interact with hydrophobic analytes. This is the most widely used mode in liquid chromatography due to its versatility and reproducibility. Best suited for moderately to highly hydrophobic compounds and compatible with aqueous sample matrices, making it the default starting point for most LC method development.
Normal Phase Chromatography uses a polar stationary phase and nonpolar mobile phase. It is particularly useful for separating polar compounds and structural isomers.
Ion-Exchange Chromatography separates analytes based on charge interactions. It is commonly applied in protein, peptide, and ionic compound analysis.
Size-Exclusion Chromatography separates molecules based on size, making it ideal for polymer and biomolecule characterization.
Effective method development begins with diagnosing whether poor separation is driven by selectivity, retention, or efficiency limitations. To optimize your results, adjust the three variables of the resolution equation in this order of priority:
Small changes in chemistry can yield the largest gains in resolution:
If peaks elute near the column dead time (tâ‚€), they are more likely to overlap.
Chromatographic separation offers several advantages:
However, limitations exist:
Understanding these trade-offs helps analysts design more robust and efficient methods.
Key factors include stationary phase chemistry, mobile phase composition, column length, flow rate, temperature, and analyte properties such as polarity and charge.
Selectivity refers to how differently two analytes interact with the system, while resolution describes how well their peaks are separated. Selectivity is one component of resolution.
pH determines the ionization state of an analyte. Neutral molecules are retained longer in Reversed-Phase than charged ones. By "tuning" the pH, you can move specific peaks away from interferents.
The fastest adjustment is usually changing the mobile phase strength (retention factor). However, the most effective way to solve a difficult co-elution is changing selectivity via the stationary phase or pH.
There is no single best method. The optimal technique depends on analyte properties, sample complexity, and analytical goals.
